La necessità di ridurre la spesa ha portato alla diffusione dei farmaci "generici", un termine che da anni sentiamo, recentemente si sta imponendo il concetto di farmaco "biosimilare".
I due termini farmaci generici e biosimilari hanno come punto in comune che il brevetto del farmaco di origine è scaduto e quindi più case farmaceutiche sono libere di produrre i farmaci con una riduzione dei prezzi per l'effetto della concorrenza.
Il brevetto del farmaco "originale" non protegge solo la vendita del farmaco, ma spesso ci sono diritti anche per le tecniche di produzione del farmaco che impediscono quindi lo studio e lo sviluppo di farmaci con effetti simili.
Il farmaco originale nel caso dei farmaci biosimilari è il farmaco biologico.
Farmaci biologici
I farmaci biologici sono medicinali che contengono uno o più principi attivi prodotti o estratti da un sistema biologico. Appartengono alla categoria dei farmaci biologici ormoni, enzimi, emoderivati, sieri e vaccini, immunoglobuline, allergeni, anticorpi monoclonali.
Tra i medicinali biologici sono definiti biotecnologici quei farmaci i cui principi attivi sono prodotti tramite le tecnologie del DNA ricombinante, l’espressione controllata di geni codificanti per proteine biologicamente attive nei procarioti e negli eucarioti, le tecniche utilizzate nella produzione di ibridomi e di anticorpi monoclonali. cit.AIFA
Nel 2012 l’EMA ha dato una definizione di medicinale biosimilare:
“Per medicinale biosimilare si intende un medicinale sviluppato in modo da risultare simile a un medicinale biologico che è già stato autorizzato (il così detto “medicinale di riferimento”).
I medicinali biosimilari, dunque, differiscono dai farmaci generici che hanno strutture chimiche più semplici e che sono considerati identici ai loro medicinali di riferimento.
Il principio attivo di un biosimilare e quello del suo medicinale di riferimento sono di fatto la stessa sostanza biologica, tuttavia possano essere presenti differenze minori dovute alla loro natura complessa e alle tecniche di produzione.
Come il medicinale biologico di riferimento, anche il biosimilare presenta un certo grado di variabilità naturale. Un biosimilare viene approvato quando è stato dimostrato che tale variabilità naturale ed eventuali differenze rispetto al medicinale di riferimento non influiscono sulla sicurezza o sull’efficacia.”
Il farmaco orginale è il medicinale di riferimento.
Il farmaco generico è essenzialmente una "fotocopia" del medicinale di riferimento.
Il farmaco biosimilare o il medicinale biosimilare può avere una molecola diversa, un processo di produzione diverso, dall'originale ma quello che lo definisce è la qualità, sicurezza ed efficacia.
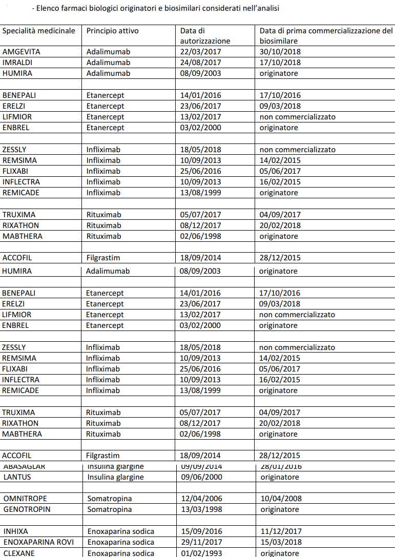
Il documento Medicinali Biosimilari Analisi di sicurezza presenta l'elenco dei farmaci biosimilari attualmente in commercio.
Molti farmaci in elenco sono di uso comune da anni, per l'utilizzo sicuro è importante anche la segnalazione di eventuali reazioni avverse rare ancora non note.
Documenti e sitografia:
- Documento AIFA analisi sicurezza
- https://www.aifa.gov.it/farmaci-biosimilari
- https://www.aifa.gov.it/-/analisi-di-sicurezza-aifa-sui-medicinali-biosimilari
- Scarica il position paper AIFA
Foto di Thanks for your Like • donations welcome da Pixabay

